IL-7 Products

Antibodies
Antibody Pairs
IL-7 Antibody Pair [HRP]
IL-7 Antibody Pair [HRP]
NBP2-79370
Species: Hu
Applications: ELISA
Conjugate Catalog # Availability Size Price
ELISA Kits
Human IL-7 Quantikine HS ELIS ...
Human IL-7 Quantikine HS ELISA Kit
HS750
Species: Hu
Applications: ELISA
Human IL-7 DuoSet ELISA, 15 P ...
Human IL-7 DuoSet ELISA, 15 Plate
DY207
Species: Hu
Applications: ELISA
Mouse IL-7 Quantikine ELISA K ...
Mouse IL-7 Quantikine ELISA Kit
M7000
Species: Mu
Applications: ELISA
Lysates
IL-7 Overexpression Lysate
IL-7 Overexpression Lysate
NBL1-11965
Species: Hu
Applications: WB
Proteins
Recombinant Human IL-7 Protei ...
Recombinant Human IL-7 Protein
207-IL
Species: Hu
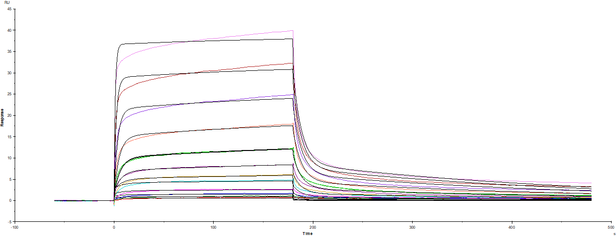
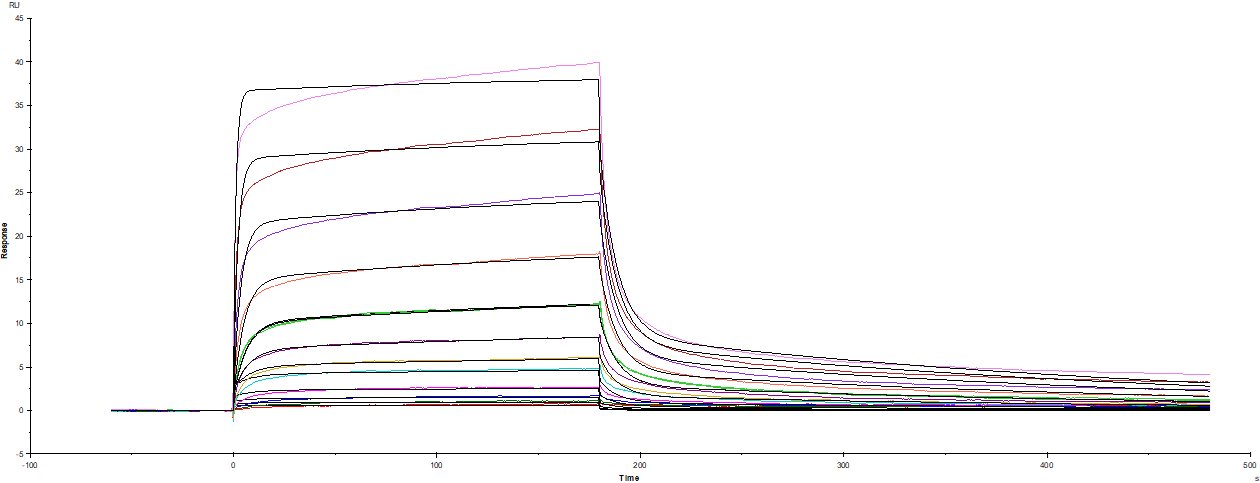
Applications: Bioactivity
Recombinant Mouse IL-7 Protei ...
Recombinant Mouse IL-7 Protein
407-ML
Species: Mu
Applications: Bioactivity
Formulation Catalog # Availability Price  
Recombinant Human IL-7 Protei ...
Recombinant Human IL-7 Protein, CF
BT-007
Species: Hu
Applications: Bioactivity

Description

Interleukin-7 (IL-7, previously known as lymphopoietin-1 and pre-B-cell growth factor) is a hematopoietic growth factor that stimulates early B and T cells. It can also co-stimulate the proliferation of mature T cells with other factors such as ConA (concanavalin A) and IL-2. IL-7 can induce the formation of lymphokine-activated killer (LAK) cells, it also plays a role in the development of cytotoxic T lymphocytes (CTL). IL-7 can stimulate the production of pro-inflammatory cytokines and enhance the tumoricidal activity of monocytes/macrophages. It is produced by thymic stromal cells, spleen cells and keratinocytes. Human and murine IL-7 show cross-species reactivity.

Bioinformatics

Entrez Mouse
Rat
Human
Uniprot Human
Human
Human
Human
Mouse
Human
Product By Gene ID 3574
Alternate Names
  • IL-7interleukin-7
  • interleukin 7

Research Areas for IL-7

Find related products by research area and learn more about each of the different research areas below.

Biologically Active Proteins
Cell Cycle and Replication
Cytokine Research
Hematopoietic Stem Cell Markers
Immunology
Innate Immunity
Stem Cell Markers